El impacto negativo que la psoriasis tiene en la calidad de vida del paciente puede ser tan importante como sus consecuencias físicas. Podríamos suponer que el blanqueamiento de la enfermedad conllevaría también una mejoría de su impacto psicosocial. El presente estudio valora el estado psicológico de los pacientes con psoriasis controlados con tratamiento sistémico en una Unidad de Psoriasis, especialmente en aquellos con una afectación leve o nula de la enfermedad.
MétodosEstudio epidemiológico observacional y trasversal, sin intervención, con dos cohortes (casos y controles). Los pacientes autocompletaron datos demográficos y 4 cuestionarios (Cuestionario de autoestima de Rosenberg, Skindex-29, HADS y COPE-28) en una única visita.
ResultadosSe reclutaron 111 pacientes diagnosticados de psoriasis y 109 pacientes control. En autoestima, el promedio y la desviación estándar (DE) del grupo de psoriasis fue de 33,5 (4,8) y de 33,3 (6,7) para el grupo control, sin diferencias significativas. En el Skindex-29, la puntuación media del grupo de pacientes con psoriasis fue casi 3 veces mayor que la media del grupo control (30 vs. 11). Se encontraron diferencias significativas en las puntuaciones del HADS de ambos grupos (12,7 vs. 9,0; p<0,001). Las puntuaciones promedio del HADS-A fueron de 8,0 (4,78) en el grupo de psoriasis frente a 5,7 (3,8) en el grupo control (p<0,001), mientras que las del HADS-D fueron de 4,7 (3,9) frente a 3,2 (3,1) (p<0,004), respectivamente.
ConclusionesLos resultados obtenidos indican que es necesario medir el estado psicológico de nuestros pacientes con psoriasis, pues incluso con un control casi total de la enfermedad la afectación psicológica permanece.
The negative impact of psoriasis on patient quality of life can be as important as the physical consequences of the disease. We could assume that clearance of the disease would also lead to an improvement in its psychosocial impact. The present study assesses the psychological state of patients with psoriasis receiving systemic treatment in a psoriasis unit, especially those with mild or no disease involvement.
MethodsWe performed a cross-sectional, observational, noninterventional epidemiological study of 2 cohorts (cases and controls). The patients self-completed demographic data and 4 questionnaires (Rosenberg Self-Esteem Scale, Skindex-29, HADS, and COPE-28 questionnaire) at a single visit.
ResultsWe recruited 111 patients diagnosed with psoriasis and 109 control patients. In self-esteem, the mean and standard deviation (SD) score was 33.5 (4.8) for the psoriasis group and 33.3 (6.7) for the control group, with no significant differences. In the Skindex-29, the mean score for the psoriasis group was almost 3 times higher than that of the control group (30 vs. 11). Significant differences were found in the HADS scores of both groups (12.7 vs. 9.0, P<.001). The mean HADS-A scores were 8.0 (4.78) for the psoriasis group compared with 5.7 (3.8) for the control group (P<.001). In the case of HADS-D, the scores were 4.7 (3.9) compared with 3.2 (3.1) (P<.004), respectively.
ConclusionsOur findings indicate that it is necessary to assess the psychological state of patients with psoriasis, because psychological effects persist even in cases where the disease is almost totally controlled.
La psoriasis es una enfermedad inflamatoria crónica que afecta a un 2% de la población en nuestro país1. Se caracteriza por su gran heterogeneidad clínica con periodos de fluctuación.
El impacto negativo de la psoriasis en la calidad de vida (CdV) del paciente está bien documentado en la literatura, lo que refuerza la percepción de que el impacto psicosocial de la psoriasis es tan importante como sus consecuencias físicas, lo cual contribuye a su morbilidad2. Por su principal afectación cutánea, la psoriasis puede tener un impacto negativo en la imagen corporal y ocasiona en los pacientes una disminución de su autoestima, de la seguridad en sí mismos y de su bienestar3.
Además, por su cronicidad, el paciente se enfrenta a distintas demandas y desafíos que la propia enfermedad conlleva. En general, las enfermedades crónicas suelen afectar diferentes áreas vitales y el impacto que producen en la CdV puede conducir a depresión, ansiedad, o a trastornos relacionados con el estrés o, incluso, a conductas suicidas3-5. La prevalencia de ansiedad en psoriasis varía del 7 al 48%6. La prevalencia de la depresión en psoriasis varía del 6 al 62%. A partir de los datos de un metaanálisis, el porcentaje de pacientes que tienen sintomatología depresiva, medida mediante cuestionarios específicos, se situaría alrededor del 28%4.
Cuando se analizan las estrategias de afrontamiento de los pacientes con psoriasis se observa que las más frecuentes son: la planificación, el afrontamiento activo, la aceptación y la reinterpretación positiva de la enfermedad; y las menos frecuentes: el abuso de alcohol, la religión y la negación de la enfermedad7. Los pacientes con mayores niveles de salud mental y CdV son los que utilizan con más frecuencia las opciones más normalizadoras y optimistas de afrontamiento7.
Una mejora en la gravedad de la enfermedad, medida en la reducción del índice de afectación orgánica de la enfermedad (PASI), puede acompañarse de una mejora del bienestar psicológico8. Cabría pensar por ello que, una vez conseguida la mejoría clínica del paciente asociada al tratamiento, también lo harán los factores psicológicos relacionados con la enfermedad. Sin embargo, en nuestra experiencia diaria, esto no siempre ocurre, lo que nos lleva a pensar que el padecimiento previo al control terapéutico de la enfermedad sigue presente de alguna manera a pesar de la mejoría de sus lesiones cutáneas.
Por ello, el objetivo principal de este estudio fue valorar el estado psicológico de los pacientes en seguimiento terapéutico en nuestra Unidad de Psoriasis con tratamiento sistémico. Como objetivo secundario, la valoración del impacto psicológico en el subgrupo con afectación leve o nula de su psoriasis.
MétodoDiseñoEstudio epidemiológico observacional, trasversal y sin intervención, con dos cohortes (casos y controles). El estudio fue aprobado por el comité ético del hospital. Los pacientes participantes se reclutaron de forma consecutiva en la consulta de dermatología. En la visita fueron informados del objetivo principal del estudio y firmaron el consentimiento informado. Todos los pacientes rellenaron los cuestionarios en la sala de espera tras la finalización de la visita médica.
SujetosSe reclutaron 111 pacientes con psoriasis que cumplían los siguientes criterios: pacientes con psoriasis en placas, en tratamiento sistémico, mayores de 18 años, sin artritis psoriásica o controlada, en seguimiento en nuestra Unidad de Psoriasis, que acudieron de forma consecutiva entre abril de 2015 y junio de 2016, y que voluntariamente aceptaron participar en el estudio. Se excluyeron los pacientes con otros tipos de psoriasis, menores de 18 años, aquellos con dificultad para completar los cuestionarios y los que asociaban alguna otra patología dermatológica crónica, así como los que asociaban artritis no controlada clínicamente. En el grupo control se incluyeron aquellos pacientes mayores de 18 años, que acudieron a nuestras consultas por patología banal (valoración de nevi, queratosis seborreicas, verrugas, etc.), durante el mismo periodo de observación, y sin antecedentes familiares ni personales de psoriasis.
InstrumentosAmbos grupos completaron los cuestionarios Escala de autoestima de Rosenberg, Cuestionario de estrategias de afrontamiento COPE-28, Skindex-29 y Hospital Anxiety and Depression Scale (HADS). Se obtuvieron los datos demográficos del paciente, y a los pacientes de la cohorte de estudio les realizaba el PASI siempre el mismo observador. Tanto la cumplimentación de los cuestionarios como la medición del PASI se llevaban a cabo el mismo día de la consulta.
La Escala de autoestima de Rosenberg es una de las más utilizadas para la medición de la autoestima. Incluye 10 ítems cuyos contenidos se centran en los sentimientos de respeto y aceptación de uno mismo. La puntuación total oscila entre 10 y 409.
El COPE-28 es la versión española del Brief COPE de Carver10 (1997) realizada por Morán et al. (2010). Se trata de un inventario multidimensional de 28 ítems y 14 subescalas para evaluar diferentes formas de respuesta ante el estrés11.
El cuestionario Skindex-29 ha sido adaptado en versión española por Jones-Caballero et al. para determinar la CdV de los participantes en relación con su piel. El cuestionario es autoadministrado y contiene 3 dimensiones: funcional (12 ítems), emocional (10 ítems) y sintomática (7 ítems). La puntuación de cada dimensión se obtiene transformando la suma de las respuestas en una escala lineal de 100, variando desde 0 (ausencia de impacto en la calidad de vida relacionada con la salud [CVRS]) hasta 100 (máximo impacto en la CVRS). Se obtiene una puntuación global mediante la misma transformación12.
Por último, el HADS es un cuestionario autoadministrado de 14 ítems desarrollado para detectar la posible presencia de estados de ansiedad y depresión en el contexto de pacientes ambulatorios no psiquiátricos. Consta de dos subescalas (ansiedad y depresión) de 7 ítems en donde los pacientes tienen que describir los sentimientos que han experimentado durante la última semana, con una puntuación máxima de 21 en cada subescala. El cuestionario HADS tiene distintos puntos de corte para discernir la probabilidad de un trastorno emocional. En este estudio utilizamos el punto de corte original propuesto por Zigmond y Snaith —con la puntuación de 8-10 como posible, y ≥11, problema clínico— para cada una de las subescalas, de manera independiente13,14. Este cuestionario es un rápido instrumento de cribado, no de diagnóstico, cuya función es la de facilitar y adelantar la derivación del paciente a salud mental, para su correcta valoración, diagnóstico y tratamiento, si procede.
Análisis estadísticoDesde el punto de vista descriptivo, las variables cuantitativas fueron tratadas analizando los índices de centralización y dispersión: media aritmética y desviación típica para variables similares a la normal; y mediana y percentiles 25 y 75 para las variables que no seguían una distribución normal. Se utilizó el test de Shapiro-Wilk para comprobar la normalidad de los datos de las variables cuantitativas. Se calculó la frecuencia y el porcentaje en las variables cualitativas. Se empleó el test de la t de Student para comparar variables continuas o el test de la U de Mann-Whitney para comparar variables ordinales. Se calculó el coeficiente de correlación de Pearson para comprobar la asociación entre variables cuantitativas, y el coeficiente de correlación de Spearman para comprobar la asociación entre variables ordinales. Se utilizó el test exacto de Fisher para comparar variables cualitativas. Se consideraron resultados estadísticamente significativos aquellos con un valor de p inferior a 0,05 (α=0,05). El programa estadístico utilizado fue el R Core Team (2017 versión 3.1.2).
ResultadosDatos clínicosEn total, 220 pacientes aceptaron participar en el estudio: 111 casos y 109 controles. La tabla 1 resume los hallazgos demográficos de ambos grupos, siendo comparables las comorbilidades encontradas, salvo en la presencia de artritis, mayor en el grupo de casos. La tabla 2 resume las características específicas del grupo de pacientes con psoriasis. La puntuación media y desviación estándar (DE) del PASI fue de 1,97 (2,91), lo que indica que gran parte de los pacientes del grupo de estudio tienen la enfermedad controlada.
Características sociodemográficas de los pacientes con psoriasis/casos y de los controles
| Variable | Psoriasis (n=111) | Controla (n=109) |
|---|---|---|
| Edad, media (DE) | 48,93 (12,7) | 48,26 (16,2) |
| Hombres, n (%) | 46 (41,4) | 43 (39,4) |
| Estado civil, n (%) | ||
| Soltero/a | 37 (35,6) | 48 (48,5) |
| Casado/a | 51 (49,0) | 43 (43,4) |
| Divorciado/separado/a | 13 (12,5) | 4 (4,0) |
| Viudo/a | 3 (2,9) | 4 (4,0) |
| Situación laboral, n (%) | ||
| Activo/a | 56 (56,0) | 54 (56,8) |
| Ama/o de casa | 6 (6,0) | 8 (8,4) |
| Desempleado | 23 (23,0) | 19 (20,0) |
| Jubilado | 15 (15,0) | 14 (14,7) |
| Actividad física, n (%) | ||
| No realiza ejercicio | 22 (22,4) | 22 (22,9) |
| <3 días/semana | 32 (32,7) | 20 (20,8) |
| >3 días/ semana | 44 (44,9) | 54 (56,2) |
| Uso de antidepresivos, n (%) | ||
| Sí | 19 (18,3) | 15 (16,3) |
| Comorbilidades, n (%) | ||
| Sobrepeso | 24 (25,8) | 9 (10,2) |
| Diabetes mellitus | 11 (11,8) | 3 (3,4) |
| Hipertensión | 33 (34,7) | 16 (18,2) |
| Artritis psoriásica | 28 (30,4) | 1 (1,2)b |
| Enfermedad inflamatoria intestinal | 8 (9,2) | 4 (4,6) |
Características clínicas del grupo con psoriasis
| Variable | |
|---|---|
| Antecedentes de psoriasis, n (%) | 65 (67,7) |
| Psoriasis localizada en áreas visibles, n (%) | 91 (92,8) |
| Modifica forma de vestir por la psoriasis, n (%) | 52 (53,0) |
| Edad media al diagnóstico, (DE) | 28.02 (16,0) |
| PASI, media (DE) | 1.97 (2,9) |
| PASI<2, n (%) | 70 (64,8) |
| PASI>2 y <5, n (%) | 27 (25) |
| PASI>5, n (%) | 11 (10,2) |
| Tratamientos sistémicos, n (%) | |
| Acitretina | 6 (5,4) |
| Ciclosporina | 3 (2,7) |
| Metotrexato | 39 (35,1) |
| Adalimumab | 16 (14,4) |
| Etanercept | 14 (12,6) |
| Ustekinumab | 16 (14,4) |
| Secukinumab | 3 (2,7) |
| Descanso terapéutico transitorio en el momento de la visita, n (%) | 14 (12,6) |
En la tabla 3 se detallan los resultados obtenidos en cada una de las dimensiones medidas.
Resultados de las escalas
| Variable | Psoriasis | Control | p |
|---|---|---|---|
| Rosenberg, media (DE) | 33,5 (4,8) | 33,3 (6,7) | 0,77 |
| Skindex, media (DE) | 29,9 (22,1) | 8,8 (11,7) | <0,001 |
| Sintómatico | 36,8 (21,3) | 16,1 (17,3) | <0,001 |
| Emocional | 35,4 (26,3) | 9,6 (14,6) | <0,001 |
| Funcional | 21,4 (23,9) | 4,0 (9,6) | <0,001 |
| HADS, media (DE) | 12,7 (8,0) | 9,0 (6,4) | <0,001 |
| Sub. Ansiedad | 8,0 (4,7) | 5,7 (3,8) | <0,001 |
| Sub. Depresión | 4,7 (3,9) | 3,28 (3,1) | 0,004 |
| COPE, medianaa | |||
| Afrontamiento activo | 5 (4,6) | 5 (3,6) | 0,47 |
| Planificación | 3 (2,5) | 4 (2,5) | 0,11 |
| Apoyo emocional | 3 (2,5) | 4 (2,5) | 0,72 |
| Apoyo social | 3 (2,4) | 3 (2,4) | 0,89 |
| Religión | 0 (0,2) | 0 (0,3) | 0,46 |
| Reevaluación positiva | 3 (2,5) | 4 (2,5) | 0,43 |
| Aceptación | 5 (3,6) | 4 (4,6) | 0,41 |
| Negación | 1 (0,3) | 1 (0,3) | 0,44 |
| Humor | 2 (0,4) | 3 (0,4) | 0,11 |
| Autodistracción | 3,5 (1,4) | 4 (2,5) | 0,17 |
| Autoinculpación | 2 (0,3) | 2 (0,3) | 0,18 |
| Desconexión | 1 (0,2,75) | 1 (0,3) | 1 |
| Desahogo | 1 (0,3) | 2 (1,4) | 0,01 |
| Uso de sustancias | 0 (0,0) | 0 (0,0) | 0,57 |
En negrita, los valores con significación estadística.
El promedio de las puntuaciones de autoestima fue de 33,5 (4,8) para el grupo de psoriasis y de 33,3 (6,7) para el grupo control, sin diferencias significativas. Se observó que un 18,5% de los pacientes con PASI entre 2 y 5 presentan autoestima baja (con puntuación por debajo de 25) frente al 5,5% del grupo control (p=0,056).
Calidad de vidaEn el Skindex-29 la puntuación media del grupo de pacientes con psoriasis fue casi 3 veces mayor que la media del grupo control (30 vs. 9), y todas las comparaciones en cada una de las dimensiones fueron estadísticamente significativas (p<0,001). Las dimensiones que resultan más afectadas en nuestros pacientes son la sintomática (37 vs. 16) y la emocional (35 vs. 9).
Estrategias de afrontamientoLas estrategias de afrontamiento más utilizadas por nuestros pacientes con psoriasis son el afrontamiento activo (5 vs. 5) y la aceptación (5 vs. 4), existiendo únicamente significación estadística en el desahogo (p=0,01). En el apéndice A (material suplementario) se encuentran las definiciones de cada una de las escalas del cuestionario y el cuestionario COPE-28.
Ansiedad y depresiónLas puntuaciones promedio de nuestros dos grupos en el HADS mostraron diferencias significativas (12,7 vs. 9,0; p<0,001). La subescala HADS-A (ansiedad) tuvo una puntuación mayor que la HADS-D (depresión). Las puntuaciones promedio del HADS-A fueron de 8,0 (4,78) en el grupo de psoriasis frente a 5,7 (3,8) en el grupo control, con una p<0,001, mientras que las del HADS-D fueron de 4,7 (3,9) frente a 3,2 (3,1) (p<0,004), respectivamente.
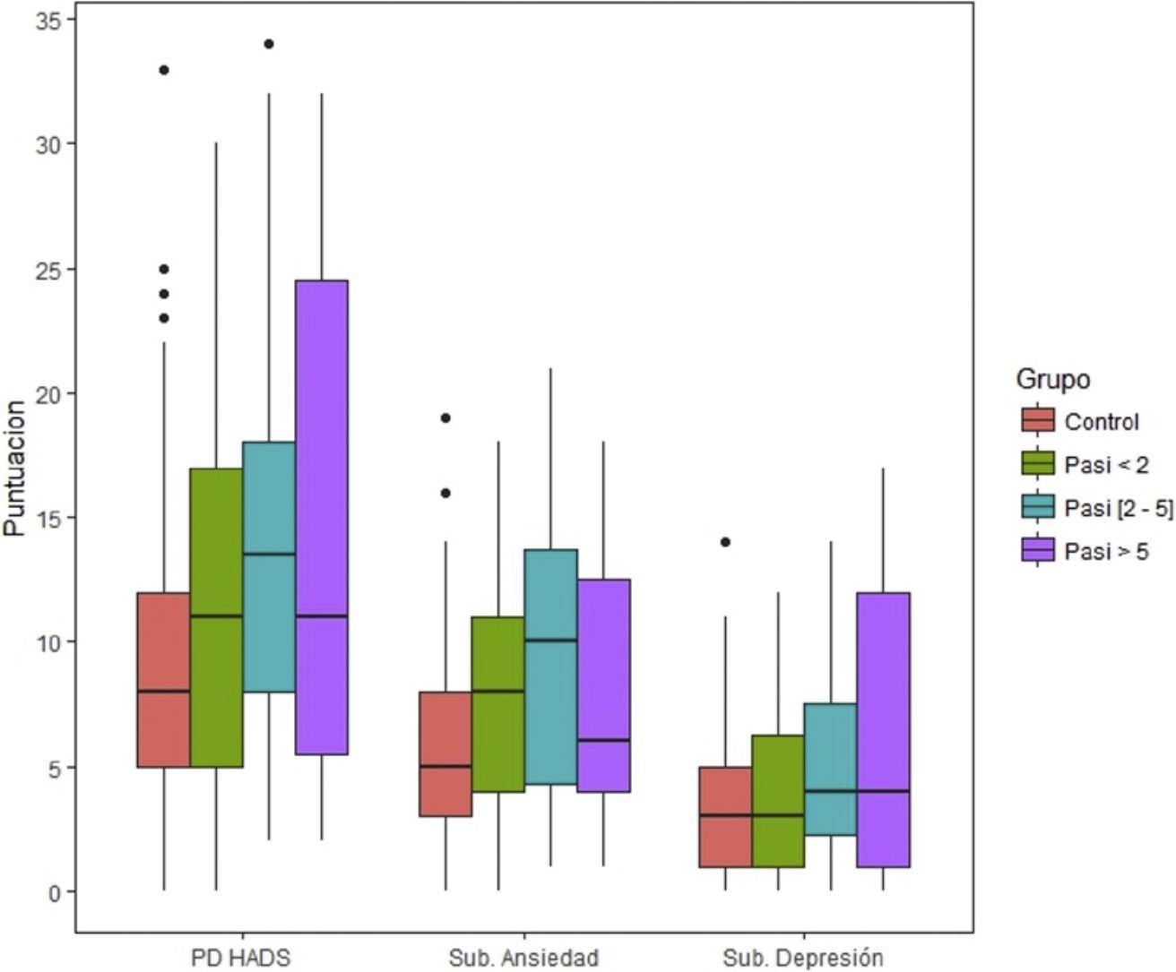
En la tabla 4 se exponen los datos del subanálisis según la puntuación en el PASI. Se encontraron diferencias significativas en la probabilidad de tener una puntuación HADS compatible con problema clínico en todos los grupos de pacientes (independientemente de la puntuación PASI) en todas las comparaciones frente a los controles (p=0,006). En el caso de la subescala HADS-A, hubo diferencias significativas en la probabilidad de tener una puntuación compatible con problema clínico en todos los grupos de casos frente a controles (p=0,003). En la subescala HADS-D únicamente hubo significación estadística en la comparación entre el grupo control y aquellos pacientes con PASI entre 2 y 5 (fig. 1).
Puntuaciones en HADS por PASI frente a control
| Variable | PASI<2 | Psoriasis PASI 2-5 | PASI>5 | Control | p |
|---|---|---|---|---|---|
| n | 68 | 26 | 11 | 109 | |
| Total HADS, mediana (Q1, Q3) | 11 (5-17) | 13,5 (8-18) | 11 (5,5-24,5) | 8 (5-12) | 0,006 |
| Sub. Ansiedad, mediana (Q1, Q3) | 8 (4-11) | 10 (4,2-13,7) | 6 (4-12,5) | 5 (3-8) | 0,003 |
| Sub. Depresión, mediana (Q1, Q3) | 3 (1-6,2) | 4 (2,2-7,5) | 4 (1-12) | 3 (1-5) | 0,03 |
| A continuación se muestran las comparaciones dos a dos de aquellos resultados significativos. Se muestra el valor de p con las correcciones de Bonferroni | |||||
| Variables/Comparaciones | Control vs. PASI<2 | Control vs. PASI 2-5 | Control vs. PASI>5 |
|---|---|---|---|
| Total HADS | 0,08 | 0,02 | 0,89 |
| Sub. Ansiedad | 0,06 | 0,01 | 0,83 |
| Sub. Depresión | 0,41 | 0,07 | 0,94 |
En negrita, los valores con significación estadística.
Se calcularon también las correlaciones entre los resultados obtenidos en el Skindex-29 y Rosenberg frente al HADS, observándose una correlación positiva entre los valores de Skindex-29 y HADS, tanto en el grupo de psoriasis como en el grupo control. Sin embargo, la correlación entre HADS y Rosenberg fue negativa en los dos grupos (tabla 5).
Correlaciones entre variables
| Variable | Psoriasis (r, p) | Control (r, p) | pa |
|---|---|---|---|
| Skindex vs. HADS | 0,7 (<0,001) | 0,32 (<0,001) | <0,001 |
| Skindex vs. Sub. Ansiedad | 0,62 (<0,001) | 0,34 (<0,001) | 0,007 |
| Skindex vs. Sub. Depresión | 0,68 (<0,001) | 0,25 (0,01) | <0,001 |
| Rosenberg vs. HADS | −0,63 (<0,001) | −0,32 (<0,001) | 0,003 |
| Rosenberg vs. Sub. Ansiedad | −0,51 (<0,001) | −0,26 (<0,001) | 0,032 |
| Rosenberg vs. Sub. Depresión | −0,67 (<0,001) | −0,35 (<0,001) | 0,001 |
La medición de la afectación psicológica de los pacientes se puede llevar a cabo con la utilización de diversos instrumentos. Este aspecto se ha abordado clásicamente mediante la realización del HADS. Sin embargo, hay diversos aspectos que este cuestionario no abarca, motivo por el que se ha recurrido a otros. En nuestro estudio escogimos el HADS, el COPE-28 y el de autoestima de Rosenberg por ser los más utilizados, lo que permitiría efectuar comparaciones en los resultados obtenidos4,6,7.
El curso crónico de la psoriasis se asocia a muchas otras alteraciones de la esfera psicológica que no hemos evaluado en nuestro estudio. La alexitimia, los sentimientos de rechazo, vergüenza, preocupación, ira o negatividad se han asociado a pacientes con psoriasis grave3,15,16, no siendo nuestra población de estudio comparable, dado que nuestros pacientes se encontraban en blanqueamiento casi absoluto (PASI<2). Por ello, no se contemplaron en el objetivo de nuestro estudio, centrado en la presencia de sintomatología ansiosa y depresiva. A pesar de que algún estudio ha comprobado que la mejora de la gravedad de la psoriasis, mediante la reducción del PASI, iría acompañada de una mejora en el bienestar psicológico de los pacientes8, a partir de los datos obtenidos en nuestro estudio parece objetivarse un sufrimiento psicológico, independientemente del control terapéutico conseguido aceptable en la práctica clínica habitual (PASI medio de 1,97).
En nuestro estudio no hemos apreciado afectación de la autoestima, salvo en aquellos pacientes en quienes aún persisten lesiones de psoriasis (PASI de entre 2 y 5; nuestro estudio no permitía valorar el dato en pacientes con PASI>5, por no ser objetivo del mismo). En un estudio reciente, la puntuación promedio de la Escala de autoestima de Rosenberg en pacientes psoriásicos era de 14,75 (±2,95)17. Llama la atención nuestro dato, en cuanto que la autoestima se relaciona con la imagen corporal, el autoconcepto y la propia valoración de uno mismo, siendo la psoriasis una enfermedad visible y evidente. Cabría explorar, por tanto, si es el poder de la atención recibida por parte del personal sanitario y/o las expectativas que al paciente se le ofrecen, respecto a su posibilidad de blanqueamiento completo, lo que amortigua dicho impacto.
En cuanto a las estrategias de afrontamiento, coincidimos con lo ya descrito en la literatura: el afrontamiento activo es la estrategia más frecuentemente empleada, con diferencia frente al grupo control7,18. No obstante, no podemos descartar la posibilidad de que este resultado esté asociado al sesgo potencial de que los pacientes de estudio estuvieran más motivados, al demostrar su adherencia en la asistencia a nuestra Unidad de Psoriasis. La subescala «Desahogo» del COPE-28 hace referencia al aumento de la conciencia del propio malestar emocional, acompañado de una tendencia a expresar o descargar esos sentimientos. El haber encontrado diferencias entre el grupo control (que la utiliza con mayor frecuencia que los casos) nos puede llevar a pensar que los pacientes con psoriasis bloquean este aspecto. No hemos encontrado datos comparativos en otros estudios respecto a esta estrategia de afrontamiento, por lo que nos parece interesante profundizar en este tema en futuras investigaciones.
Las puntuaciones de CVRS de nuestro grupo de casos fueron muy similares a las encontradas en el trabajo sobre la validación española del Skindex-2912. En ambos trabajos se evidencia que las escalas más afectadas son la sintomática y la emocional, si bien en nuestra muestra las puntuaciones promedio son discretamente inferiores (escala sintomática, 37 en nuestro grupo vs. 42 en el trabajo de Jones-Caballero; y escala emocional, 35 vs. 38, respectivamente). Cabría señalar que dicho estudio no fue diseñado específicamente para medir la CVRS en pacientes con psoriasis, sino con enfermedades cutáneas en general, incluidas varias dermatosis inflamatorias12, lo que podría justificar la diferencia.
Las puntuaciones promedio en el cuestionario HADS (12,7 en grupo psoriasis; p<0,001) indican la existencia de un problema clínico. Si utilizamos el punto de corte de Zigmond y Snaith14, el 57% de los pacientes con psoriasis tienen una puntuación en el HADS por encima de 11 (OR=2,467; p=0,002), lo que indica algún tipo de afectación psicológica. De ellos, un 31,7% tendría puntuaciones concordantes con ansiedad y un 11,2% con depresión. La puntuación media del grupo control también es alta (34,9% HADS>11); no obstante, cabe recordar que nuestro grupo control no es de individuos sanos (al tener una patología dermatológica, aunque sea banal, sus niveles de ansiedad o depresión podrían estar afectados) y que se desarrolla en un ámbito sanitario. Otros estudios también han encontrado presencia de trastornos psicológicos, con una prevalencia de ansiedad del 17,2% en pacientes dermatológicos frente al 11,1% en controles sanos, y una prevalencia de depresión del 10,1% frente al 4,3%, respectivamente19. Nuestros datos demuestran la gran afectación de ansiedad en los pacientes psoriásicos a pesar de ser paucisintomáticos o sintomáticos, y muestran la necesidad de efectuar un abordaje holístico, más allá del farmacológico.
La principal limitación de nuestro estudio es que el grupo control no lo conformaban individuos sanos, sino portadores de alguna patología (aunque banal). Además, los pacientes estaban en control continuado, lo que les impide hacer una desconexión total con la enfermedad por ser múltiples los momentos, en cada visita, que han de tenerla presente y enfrentarse a ella. Además, podría ser un sesgo el bajo porcentaje (n=17; 15,7%) de pacientes totalmente blanqueados, lo que permite plantearse si es la presencia visual, en sí misma, de la afectación cutánea (en vez de su extensión) la que sirve de recuerdo estigmatizador al paciente. Hay que resaltar que el presente trabajo incluye una muestra muy amplia de pacientes casi en remisión clínica y es de los pocos que estudia el impacto psicológico de dichos pacientes.
Parece conveniente para una atención integral del paciente psoriásico medir con pruebas objetivables la presencia de trastornos del estado de ánimo. La escala HADS puede resultar útil para comprobar el estado de nuestros pacientes y trabajar aspectos relativos al apoyo emocional6. Si no es posible incorporarlo en nuestra práctica diaria, al menos se deberían formular dos preguntas sencillas sobre el estado de ánimo y la anhedonia («Durante las últimas 2 semanas, ¿se ha sentido decaído, deprimido o sin esperanza?» y «Durante las últimas 2 semanas, ¿ha tenido poco interés o placer en hacer las cosas?»)20,21.
En conclusión, los resultados encontrados reflejan la existencia de un sufrimiento psicológico en los pacientes con psoriasis en control terapéutico, a pesar de la mejoría sustancial de sus lesiones cutáneas. Por otro lado, un porcentaje importante de nuestros pacientes con psoriasis leve o nula aún presentan sintomatología ansiosa. La atención psicológica es necesaria como complemento para valorar el estado de salud de nuestros pacientes22. Nos planteamos en el futuro realizar un estudio similar en pacientes con PASI absoluto 0 para aclarar si la mínima afectación cutánea de la enfermedad tras el tratamiento es suficiente para tener el impacto psicológico demostrado en los pacientes con psoriasis.
Conflicto de interesesLos autores declaran no tener ningún conflicto de intereses.









