La incidencia del melanoma cutáneo está aumentando rápidamente y ha duplicado su prevalencia durante las últimas tres décadas. Tener un conocimiento detallado de la epidemiología local es fundamental para el desarrollo de estrategias de prevención comunitaria y optimizar los recursos hospitalarios.
Material y métodosSe incluyeron todos los pacientes diagnosticados de melanoma cutáneo en el Hospital Universitario Araba, en la provincia de Álava del País Vasco, entre enero de 2015 y diciembre de 2018. Se realizó un análisis descriptivo de las variables clínico-patológicas y un análisis de la incidencia ajustado a la población europea.
ResultadosSe incluyeron un total de 242 nuevos casos de melanoma entre 2015 y 2018. La incidencia estandarizada por edad ha aumentado de 12,92 en 2015 a 18,30 casos por 100.000 habitantes y año en 2018.
ConclusionesHemos observado una incidencia de melanoma más elevada que en la publicada en series nacionales en los años 2017 y 2018. Además, existe una gran proporción del subtipo histológico de tipo lentigo maligno, ocupando el segundo subtipo histológico en frecuencia.
The incidence of cutaneous melanoma is rising fast, and its prevalence has doubled in the past 3 decades. Detailed local epidemiological information is essential for informing community-based prevention strategies and optimizing hospital resources.
Material and methodsWe included all patients diagnosed with cutaneous melanoma at Hospital Universitario Araba in the Basque province of Álava, Spain, between January 2015 and December 2018. We described clinical and pathologic characteristics and calculated annual incidence rates adjusted to the European standard population.
ResultsA total of 242 new cases of melanoma were diagnosed between 2015 and 2018. The age-standardized annual incidence rose from 12.92 cases per 100 000 population in 2015 to 18.30 cases per 100 000 population in 2018.
ConclusionsThe incidence of melanoma in our area is higher than that reported for Spanish series in 2017 and 2018. Lentigo maligna accounted for a high proportion of cases and was the second largest histologic subgroup.
El melanoma es la forma prevenible más mortal de cáncer de piel1. La incidencia está aumentando rápidamente y ha duplicado su prevalencia durante las últimas tres décadas2.
Las tasas de incidencia del melanoma en la población europea varían considerablemente entre diferentes países. Asimismo se observa que las tasas de incidencia más altas se registran en el norte y el oeste de Europa, mientras que las más bajas están documentadas en la región sur del continente3.
España tiene una de las tasas de incidencia más bajas de toda Europa, sin embargo, no existen muchos estudios epidemiológicos sobre la epidemiología del melanoma en España. Hasta la fecha, los estudios más completos sobre la incidencia de melanoma en España han constatado un aumento progresivo en la incidencia de melanoma en las últimas décadas4–6.
Ante estas circunstancias cambiantes en la incidencia del melanoma es importante realizar estudios epidemiológicos de distintas áreas geográficas para determinar cómo varían los casos en cada región. Por eso, hemos analizado la incidencia de melanoma que cubre el Hospital Universitario Araba (Vitoria-Gasteiz, País Vasco).
Casos clínicos/pacientesSe han incluido todos los pacientes diagnosticados de melanoma en el Hospital Universitario Araba entre el 1 de enero de 2015 (fecha en la que se empieza un registro prospectivo de melanoma en este hospital) y el 31 de diciembre de 2018.
Material y métodosEstudio de cohorte retrospectivo en el cual analizamos la base de datos de melanoma de un hospital terciario (Hospital Universitario Araba en Vitoria-Gasteiz, País Vasco). Estos datos incluían datos demográficos de los pacientes, características clínicas y patológicas del melanoma. Hemos obtenido los datos epidemiológicos de la población de Álava del Instituto Nacional de Estadística (INE)7. Se incluyó a todos los pacientes diagnosticados de melanoma entre enero de 2015 y diciembre de 2018 en el Hospital Universitario Araba. En la provincia de Álava la mayoría de los pacientes con melanoma se derivan al hospital para su manejo y tratamiento. Sin embargo, estimamos que en un pequeño porcentaje existen casos que han sido atendidos en centros privados que no han sido incluidos en la base de datos.
Se realizó un análisis descriptivo y se calculó la incidencia cruda y ajustada por edad según la población europea de referencia8. Analizamos todos los casos de melanoma cutáneo invasivo e in situ, incluidas todas las edades (fig. 1). Para evaluar los períodos de edad, utilizamos períodos de dos años para analizar las diferencias en el tiempo. Las variables categóricas se compararon mediante la prueba χ2 de Pearson. Para las variables continuas utilizamos la desviación estándar y media y la prueba ANOVA de modelo lineal.
Las tasas de incidencia anual se estandarizaron por edad para la población europea estandarizada8. Para ello, se utilizó el método directo para eliminar el efecto de confusión de la edad y hacer comparaciones válidas entre las tasas de incidencia de diferentes países. Los intervalos de confianza del 95% para las tasas ajustadas por edad se calcularon utilizando el método de Fay y Feuer.
Los análisis estadísticos se realizaron utilizando el programa informático R y RStudio. Todos los análisis estadísticos fueron bilaterales y se fijó una significación estadística de P <0,05.
ResultadosSe incluyeron un total de 242 nuevos casos de melanoma entre 2015 y 2018 y se dividieron en dos períodos temporales (2015-2016 y 2017-2018). El 35,1% de los melanomas fueron in situ y el 64,9% invasores. No hubo diferencias entre sexos en ambos períodos. La mediana de edad fue de 66,1 años para el total de la serie. Respecto a la localización, la más frecuente fue el tronco (31,5%) y el subtipo histológico más frecuente el melanoma de extensión superficial (48,9%) seguido por el lentigo maligno (27,0%). La mediana del índice de Breslow fue de 0,79mm y la ulceración estaba presente en el 21,2% de los melanomas invasores (tabla 1).
Características basales de la cohorte de pacientes diagnosticados de melanoma entre 2015 y 2018
| 2015-2016(N=94) | 2017-2018 (N=148) | Total (N=242) | p valor | |
|---|---|---|---|---|
| Género | 0,113 | |||
| Masculino | 53 (56,4%) | 68 (45,9%) | 121 (50,0%) | |
| Femenino | 41 (43,6%) | 80 (54,1%) | 121 (50,0%) | |
| Edad | 0,213 | |||
| Mediana (IQR) | 62,29 (48,12; 77,14) | 68,13 (52,62; 79,79) | 66,31 (50,95; 78,21) | |
| Localización | ||||
| Tronco | 27 (29,0%) | 49 (33,1%) | 76 (31,5%) | |
| Cabeza y cuello | 22 (23,7%) | 34 (23,0%) | 56 (23,2%) | |
| Extremidades inferiores | 20 (21,5%) | 37 (25,0%) | 57 (23,7%) | |
| Extremidades superiores | 15 (16,1%) | 13 (8,8%) | 28 (11,6%) | |
| Acral | 7 (7,5%) | 11 (7,4%) | 18 (7,5%) | |
| Mucosas | 2 (2,2%) | 4 (2,7%) | 6 (2,5%) | |
| Otros | 0 (0,0%) | 0 (0,0%) | 0 (0,0%) | |
| Valores ausentes | 1 | 0 | 1 | |
| Estadio | 0,357 | |||
| In situ | 36 (38,7%) | 48 (32,9%) | 84 (35,1%) | |
| Invasores | 57 (61,3%) | 98 (67,1%) | 155 (64,9%) | |
| Valores ausentes | 1 | 2 | 3 | |
| Subtipos histológicos | 0,356 | |||
| Extensión superficial | 49 (53,8%) | 67 (45,9%) | 116 (48,9%) | |
| Léntigo maligno | 18 (19,8%) | 46 (31,5%) | 64 (27,0%) | |
| Nodular | 15 (16,5%) | 18 (12,3%) | 33 (13,9%) | |
| Otros | 3 (3,3%) | 6 (4,1%) | 9 (3,8%) | |
| Lentiginoso acral | 6 (6,6%) | 9 (6,2%) | 15 (6,3%) | |
| Valores ausentes | 3 | 2 | 5 | |
| Índice de Breslow | 0,630 | |||
| Mediana (IQR) | 0,80 (0,47; 1,67) | 0,78 (0,43; 2,14) | 0,79 (0,44; 1,97) | |
| Ulceración | 0,352 | |||
| Ausente | 44 (83,0%) | 75 (76,5%) | 119 (78,8%) | |
| Presente | 9 (17,0%) | 23 (23,5%) | 32 (21,2%) | |
| Índice mitótico | 0,493 | |||
| Mediana (IQR) | 1,00 (1,00; 2,00) | 1,00 (1,00; 3,00) | 1,00 (1,00; 3,00) |
El índice de Breslow, la ulceración y el índice mitótico solo se han evaluado para los melanomas invasores.
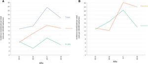
La incidencia estandarizada por edad se encuentra resumida en la tabla 2A. Entre los años 2015 y 2018 se ha observado un incremento de la incidencia estandarizada por edad de melanomas invasores e in situ por 100.000 habitantes/año de 12,92 en 2015 (IC 95%, 11,94-13,97) a 18,30 en 2018 (IC 95%, 17,14-19,51). Este incremento se aprecia principalmente en el grupo de melanomas invasores, los cuales en 2015 tenían una incidencia de 6,24 (IC 95%; 5,56-6,97) y en 2018 tenían una incidencia de 13,27 (IC 95%; 12,3-14,29). Además, respecto a la incidencia ajustada por edad y estratificada por género (tabla 2B), observamos que esta tiene unos valores más elevados en el caso de los hombres. Esta incidencia es todavía más elevada en el año 2018, donde la incidencia en hombres es de 24,06 [IC 95%; 22,24-25,99] y la de las mujeres de 13,93 (IC 95%; 12,51-15,46).
Tasas de incidencia de melanoma ajustada por edad. A) Incidencia de melanoma en la provincia de Álava diferenciando melanomas totales, in situ e invasores. B) Incidencia de melanoma en la provincia de Álava estratificado por género
| A | Población | Casos | Tasa bruta | Estandarizado por edad | 95% IC | |
|---|---|---|---|---|---|---|
| 2015 | 320.662 | Total | 46 | 14,35 | 12,92 | [11,94-13,97] |
| In situ | 24 | 7,48 | 6,69 | [5,98-7,45] | ||
| Invasores | 22 | 6,86 | 6,24 | [5,56-6,97] | ||
| 2016 | 321.799 | Total | 48 | 14,92 | 14,39 | [13,38-15,45] |
| In situ | 12 | 3,73 | 3,37 | [2,88-3,93] | ||
| Invasores | 35 | 10,88 | 10,71 | [9,86-11,63] | ||
| 2017 | 323.809 | Total | 83 | 25,63 | 23,62 | [22,31-25] |
| In situ | 29 | 8,96 | 8,44 | [7,67-9,27] | ||
| Invasores | 52 | 16,06 | 14,73 | [13,7-15,83] | ||
| 2018 | 325.736 | Total | 65 | 19,95 | 18,30 | [17,14-19,51] |
| In situ | 19 | 5,83 | 5,03 | [4,42-5,71] | ||
| Invasores | 46 | 14,12 | 13,27 | [12,3-14,29] |
| B | Género | Población | Casos | Tasa bruta | Estandarizado por edad | 95% IC |
|---|---|---|---|---|---|---|
| 2015 | Femenino | 162.560 | 24 | 14,76 | 12,85 | [11,46-14,36] |
| Masculino | 158.103 | 22 | 13,91 | 13,48 | [12,11-14,96] | |
| 2016 | Femenino | 163.432 | 29 | 17,74 | 16,76 | [15,24-18,41] |
| Masculino | 158.372 | 19 | 12,00 | 12,26 | [10,99-13,64] | |
| 2017 | Femenino | 164.625 | 42 | 25,51 | 22,47 | [20,64-24,42] |
| Masculino | 159.185 | 41 | 25,76 | 26,25 | [24,37-28,23] | |
| 2018 | Femenino | 165.943 | 26 | 15,67 | 13,93 | [12,51-15,46] |
| Masculino | 159.794 | 39 | 24,41 | 24,06 | [22,24-25,99] |
IC:intervalo de confianza.
Este estudio describe la población con melanoma que cubre el Hospital Universitario Araba. Durante el período temporal analizado hemos podido describir los casos de melanoma que se han diagnosticado de novo. Hemos podido ver una incidencia total (melanoma in situ e invasivo) alta en los últimos dos años (23,62 casos por 100.000 habitantes/año en 2017 y 18,30 casos por 100.000 habitantes/año en 2018). Al analizar los casos de melanoma invasivo, podemos ver que la incidencia es ligeramente superior a la observada en otros territorios españoles6. Otros autores del territorio español, con una población de hasta el 30% de pacientes extranjeros de origen centro y norte europeo, han publicado resultados de incidencia similares9. Esto puede explicar por qué la incidencia de melanoma es más parecida a los países nórdicos de Europa10. Otra posible explicación de la mayor incidencia de melanoma en Álava es que es una población cerrada donde la mayor parte de los melanomas se remiten al hospital y se pueden contabilizar de forma adecuada el número de casos anuales. Por último, en otros territorios del estado como Barcelona, existe una comunidad inmigrante africana, asiática y sudamericana muy importante que diluye los casos de melanoma6. En cambio, se puede ver cómo en la provincia de Álava la inmigración es mucho menor11, y no existiría este fenómeno.
Contrariamente, en el período de tiempo de 2015 a 2016 se observan incidencias de melanomas invasores más bajas que en el resto del territorio español (6,24 casos por 100.000 habitantes/año en 2015 y 10,71 casos por 100.000 habitantes/año en 2016). Esta diferencia puede ser debida a una pérdida de pacientes en el primer período temporal debido al reclutamiento retrospectivo de los pacientes.
En el registro de cáncer de Euskadi únicamente constan datos de incidencia de la población masculina desde 1986 hasta 2009. En esos datos se puede apreciar cómo en 1986 la incidencia era de 3 casos por 100.000 habitantes/año y en 2009 de 8 casos por 100.000 habitantes/año. Con nuestro estudio, actualizamos la información y confirmamos que la incidencia sigue aumentando12.
Respecto a los hallazgos descriptivos de nuestra cohorte, todos ellos van en consonancia con lo descrito previamente en la literatura6. Observamos que la edad mediana de presentación era 66,31 años y la principal localización era el tronco (31,5%) seguido de extremidades inferiores (23,7%) y cabeza y cuello (23,2%). El subtipo histológico más frecuente ha sido el melanoma de extensión superficial (48,9%) seguido del lentigo maligno melanoma (27,0%). Podlipnik et al.6 han recalcado la importancia creciente del subtipo histológico lentigo maligno melanoma, ya que en 9 años ha experimentado un aumento del 13,9% al 22,6% en el territorio catalán. Este aumento podría estar relacionado con la exposición solar acumulada a lo largo de la vida. También lo relacionan con el aumento de la sensibilidad de los métodos diagnósticos del melanoma introducidos en la última década como la dermatoscopia que permite detectar estas lesiones tempranamente.
Hemos observado en esta cohorte que la proporción de melanomas invasores es mayor que en los melanomas in situ, con una relación de aproximadamente 2:1. Esta proporción está en línea con otras cohortes europeas13.
Respecto a la incidencia de melanoma estratificada por género, podemos ver cómo es mayor en hombres que en mujeres excepto en 2016. Estos datos también concuerdan con la incidencia observada en otros países europeos10.
La principal limitación de este estudio ha sido haber incluido de forma retrospectiva los pacientes diagnosticados de melanoma. Esto ha podido conllevar la pérdida de pacientes. Además, en la provincia de Álava solamente existe un dermatólogo privado por cada 100.000 habitantes. Esto hace que la mayoría de los melanomas sean diagnosticados a nivel público. Sin embargo, no disponemos de estudios que ratifiquen esta afirmación.
Concluimos que la población con melanoma en Álava tiene unas características demográficas parecidas al resto del territorio español. No obstante, hemos observado una incidencia de melanomas invasivos ligeramente mayor los últimos dos años posiblemente debido a que se trata de una población con menos inmigración y donde la sanidad pública abarca el tratamiento de la gran mayoría de los melanomas. Conocer la epidemiología del melanoma en nuestra población va a ayudarnos en la práctica clínica a poder identificar mejor qué tipo de paciente tiene más predisposición a padecer esta enfermedad y así desarrollar estrategias de prevención primaria y secundarias para la detección precoz del melanoma. Por otro lado, no hemos observado ningún factor desencadenante externo que pueda justificar un aumento de incidencia en esta población.
Conflicto de interesesLos autores declaran no tener ningún conflicto de intereses.






