Treatment of patients with alopecia areata (AA) has changed dramatically in recent years thanks to the development of JAK inhibitors, approved and funded in Spain for patients with extensive AA after failed treatment with systemic corticosteroids. However, the best treatment for different stages of AA remains a challenge, given the wide variety of available therapeutic options. This consensus document on the management of AA follows a Delphi method, in which 23 dermatologists from the Spanish Hair Research Group of the Spanish Academy of Dermatology and Venereology have participated. After two rounds of voting, 101 of the 125 proposed items (81%) were agreed upon, structured in 5 groups of recommendations: generalities, localized AA, moderate AA, extensive AA, and special situations. The objective of this national consensus is to support health professionals in the management of AA, based on expert consensus and available scientific evidence.
Alopecia areata (AA) is an inflammatory alopecia of autoimmune origin, with a lifetime prevalence of approximately 2% in the general population1 and an estimated lifetime incidence of 0.7%–3.8%, similar in both sexes.2 AA affects both children and adults, with a mean age of onset around 30 years.2,3 Its diagnosis is mainly clinical and trichoscopic, with the most frequent clinical presentation being circular patches of alopecia on the scalp without associated inflammatory signs.4 However, other presentations – such as ophiasis-pattern AA – are associated with a worse prognosis.5 In addition to scalp involvement, the nails, eyebrows, beard, and in some cases the entire body hair (alopecia universalis) may also be affected.6 AA is frequently associated with impaired quality of life due to the psychological and social impact of the disease.7,8
The clinical course of AA is variable, with spontaneous improvement in up to 50% of patients with localized AA.9–11 However, approximately 10% of patients progress to alopecia totalis or universalis.2 The Severity of Alopecia Tool (SALT) scale is commonly used to classify AA as limited, moderate, or extensive based on the extent of hair loss.12 The therapeutic approach to AA depends mainly on the extent of alopecic patches, although the speed of progression and individual patient factors must also be considered, such as the presence of comorbidities, age, pregnancy, and psychosocial impact. Treatment for AA ranges from watchful waiting in some patients with limited involvement to systemic therapy in cases of extensive disease. Recently, Janus kinase (JAK) inhibitors have emerged as a treatment option for extensive AA, changing the therapeutic landscape.13–16 The wide range of available treatments, together with the broad clinical spectrum of AA, highlights the need for new consensus documents to guide routine clinical practice.
Given the relative frequency of AA in dermatology practice in Spain and its impact on the quality of life of affected patients, it is essential to provide health care professionals with tools that facilitate optimal management of this disease. The objective of this national consensus on the management of AA is to provide clear and concise guidance based on expert opinion and the available scientific evidence.
MethodsThis consensus was developed by members of the Spanish Hair Research Group of the Spanish Academy of Dermatology and Venerology (GET-AEDV), using a modified Delphi method.17 A scientific committee was appointed, including 8 members of the GET-AEDV with more than 5 years of experience in the field of trichology. A qualitative literature review was conducted, including articles published in Spanish and/or English since 2013. Subsequently, a structured questionnaire was designed and organized into five thematic blocks (general aspects, localized AA, moderate AA, extensive AA, and special situations). The questionnaire included 125 statements and was sent online to 23 panelists, all Spanish dermatologists and members of the GET-AEDV with clinical practice focused on the management of alopecia areata. The study was designed and conducted in accordance with the principles established in the Declaration of Helsinki.
Two rounds of voting were performed, in which panelists rated each statement using a 9-point ordinal Likert scale (1, totally disagree; 9, totally agree). Responses were classified into three groups: 1–3 (disagreement), 4–6 (neutral), and 7–9 (agreement). For an item to be considered as reaching consensus in agreement or disagreement, the following criteria had to be met: (1) a median response within the range of 1–3 or 7–9; (2) fewer than one-third of votes outside the range of 1–3 or 7–9; and (3) an IQR ≤3.
After the first voting round, the scientific committee met to conduct an interim analysis, revising several statements that had not reached consensus. These statements were submitted to a second round of voting. Panelists were informed of the first-round results before voting in the second round.
After completion of the second round, the scientific committee prepared the consensus document and assigned each recommendation a level of evidence (LoE) and grade of recommendation (GoR), following the recommendations of the Centre for Evidence-Based Medicine at the University of Oxford.18 Based on the consensus recommendations, the scientific committee developed algorithms for the management of localized, moderate, and extensive AA.
ResultsIn the first round, a total of 99 items reached consensus. In the second round, two additional recommendations were agreed upon, one in agreement and one in disagreement. No changes were made to the wording of the recommendations between rounds. After the two Delphi rounds, 101 of the 125 proposed items (81%) reached consensus (Supplementary data; Tables A.1–A.5).
General aspects of the diagnosis and management of AARegarding the diagnosis of AA, the panelists reached consensus on a series of points that health care professionals should consider when obtaining the medical history (Table 1). Specialist evaluation was recommended in the presence of signs or symptoms suggestive of systemic comorbidity. Given the high prevalence of thyroid disorders in patients with AA, systematic screening with blood tests and detection of antithyroid antibodies at the time of diagnosis was recommended. With respect to the differential diagnosis of AA, it was agreed that the most useful tool is clinicotrichoscopic correlation. Biopsy should be reserved only for cases of diagnostic uncertainty after a thorough clinical history and physical examination together with trichoscopy.
Information that should be collected during history-taking in a patient with suspected AA (LoE 5; GoR D).
| Symptoms and signs of AA• Extent of alopecia• Nail involvement• Time since symptom onset• Presence of one or more of the following poor prognostic factors:– Childhood onset– Initial involvement of more than 20% of the scalp– Duration longer than one year without regrowth– Ophiasis pattern– Nail involvement– Atopy– Family history of AA• Evidence of hair regrowth• Psychological impact of alopeciaPersonal history• Malignancy• Autoimmune diseases (including thyroid disease)• Diabetes mellitus• Previous immunosuppressive treatment• Thromboembolic events• Cardiovascular events and risk factors• Contraceptives• Smoking habit• Anxiety/depressionFamily history• Malignancy• AA |
AA, alopecia areata; LoE, level of evidence; GoR, grade of recommendation.
It was agreed that communication with the patient is essential, as well as patient education about aspects of AA such as the natural history of the disease, potential comorbidities, and therapeutic options. Likewise, evaluation of the patient's expectations regarding treatment and disease prognosis was recommended.
Treatment of localized or mild AAThe consensus treatment algorithm for localized or mild AA, defined as involvement of <20% of the scalp (SALT 1), is shown in Fig. 1. Panelists agreed that both watchful waiting and local corticosteroid infiltrations are reasonable options in these cases. When treatment with local corticosteroid infiltrations is initiated, triamcinolone acetonide was positioned as the treatment of choice because of its greater efficacy compared with betamethasone, with a similar safety profile. The maximum concentrations of triamcinolone acetonide agreed upon for infiltrations in different anatomical areas are shown in Table 2.
Maximum recommended concentrations for local infiltrations with triamcinolone acetonide* in AA according to the treatment area (LoE 5; GoR D).
| Scalp | 12mg/mL |
| Eyebrows | 4mg/mL |
| Beart | 4mg/mL |
AA, alopecia areata; LoE, level of evidence; GoR, grade of recommendation.
It was agreed that treatment with high-potency topical corticosteroids should be reserved for the treatment of mild AA in children and in adult patients who have contraindications to or do not tolerate intralesional corticosteroid administration, given the variable efficacy of this treatment and the limited scientific evidence supporting it. Finally, it was agreed that oral minoxidil could be combined with intralesional or topical treatment to improve hair density during the regrowth process.
Panelists agreed that, in certain cases, systemic therapy should be considered for localized AA, for example in patients with rapidly progressive AA or in those with frequent relapses in cosmetically sensitive areas.
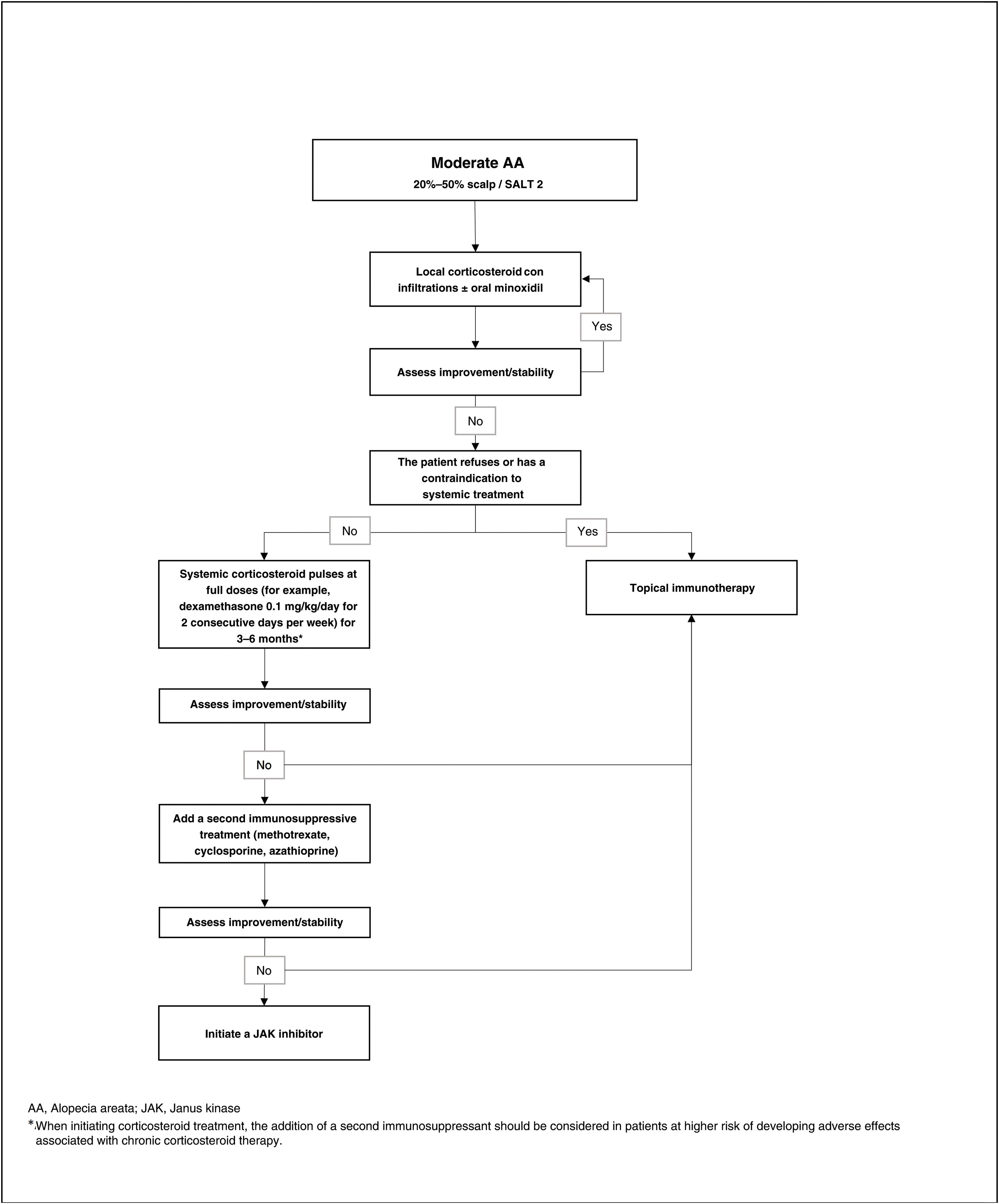
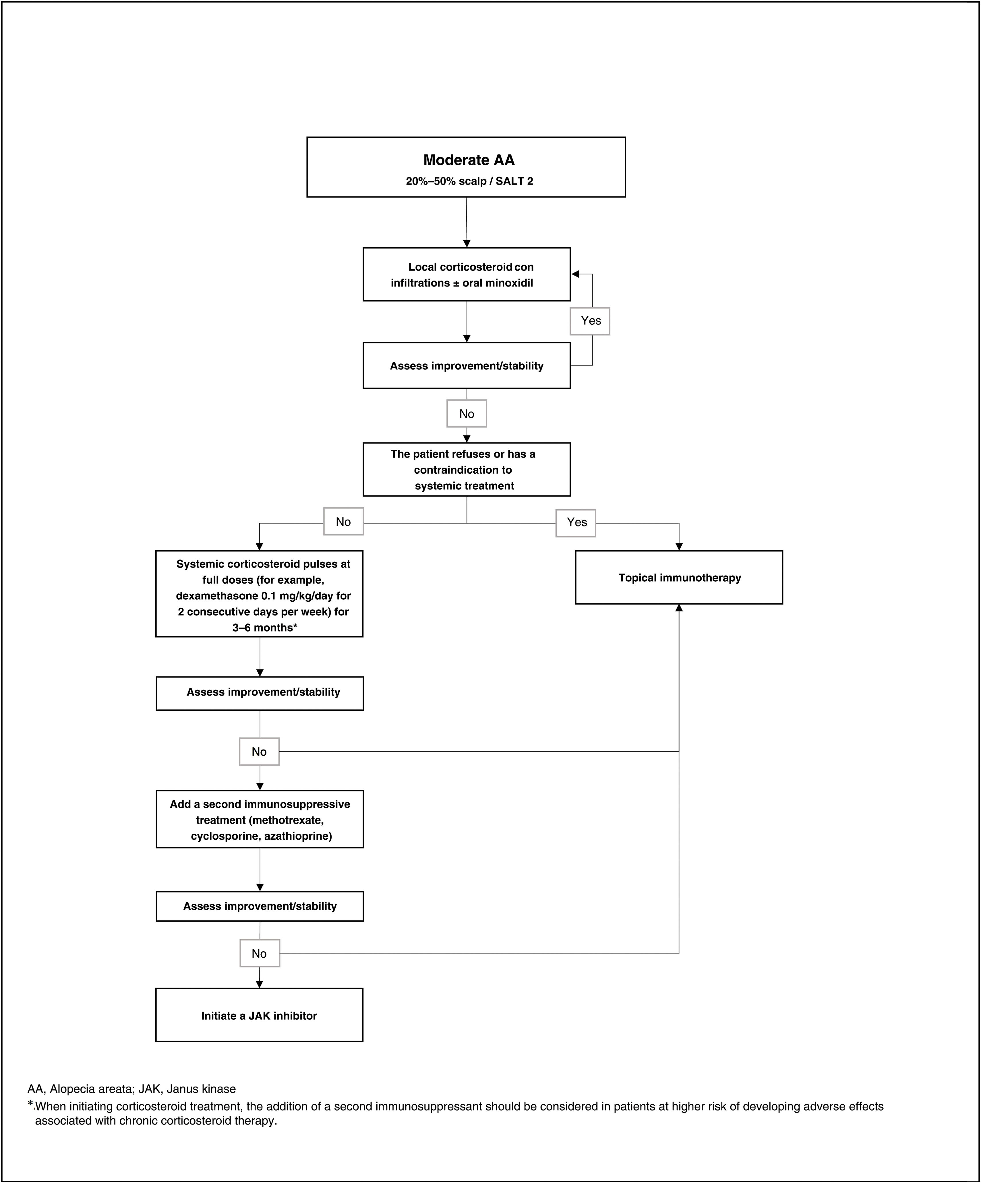
Treatment of moderate AAThe panelists defined moderate AA as scalp involvement between 20% and 50% (SALT 2). The consensus treatment algorithm for moderate AA is presented in Fig. 2.
For patients who do not respond to first-line treatment with intralesional or topical corticosteroids, the panelists agreed that weekly systemic corticosteroid pulse therapy (for example, dexamethasone 0.1mg/kg 2 days per week) is the best treatment option because of the lower risk of adverse effects compared with daily treatment.19 It was recommended that treatment with full-dose systemic corticosteroids be limited to 3–6 months, followed by gradual tapering until discontinuation. In patients who do not respond to initial treatment, off-label treatment with immunosuppressants that have shown efficacy in extensive AA (methotrexate, cyclosporine, azathioprine) should be considered, and if there is still no response, off-label use of JAK inhibitors may be considered. Furthermore, panelists agreed that combining systemic treatments is advisable to reduce systemic corticosteroid exposure and prevent long-term complications such as osteoporosis, glaucoma, or cataracts. The different immunosuppressive agents that can be used as adjuvant treatment in AA to spare corticosteroids and improve response are shown in Table 3.20–25 Topical immunotherapy is recommended as second-line treatment in patients with contraindications to or refusal of systemic therapy.
Systemic immunosuppressants used as adjuvant therapy in AA, commonly reported doses in the literature, most frequent adverse effects, and contraindications.
| Immunosuppressant | Usual doses used in AA treatment | Frequent adverse effects reported in the product information | Contraindications reported in the product information |
|---|---|---|---|
| Methotrexate | 10–20mg/week | Elevated liver enzymesGastrointestinal symptomsHematologic abnormalitiesInfections | HypersensitivitySevere hepatic failureAlcoholismSevere renal failureBlood dyscrasiasSevere chronic or acute infectionsPregnancy and/or breastfeedingAdministration of live attenuated vaccines |
| Cyclosporine | 2.5–6mg/kg/day | Renal dysfunctionHypertensionHeadacheGastrointestinal symptomsHyperlipidemiaElevated liver enzymesHypertrichosisFatigue | HypersensitivityAutoimmune diseases with renal impairmentUncontrolled hypertension |
| Azathioprine | 1–2.5mg/kg/day | InfectionsHematologic abnormalitiesGastrointestinal symptoms | HypersensitivitySevere infectionsSevere hepatic failureBone marrow failurePancreatitisAdministration of live attenuated vaccinesPregnancy |
| Mesalazine | 15–30mg/kg/day | HeadacheRash, pruritusElevated liver enzymesGastrointestinal symptoms | HypersensitivitySevere hepatic failureSevere renal failure |
AA, alopecia areata.
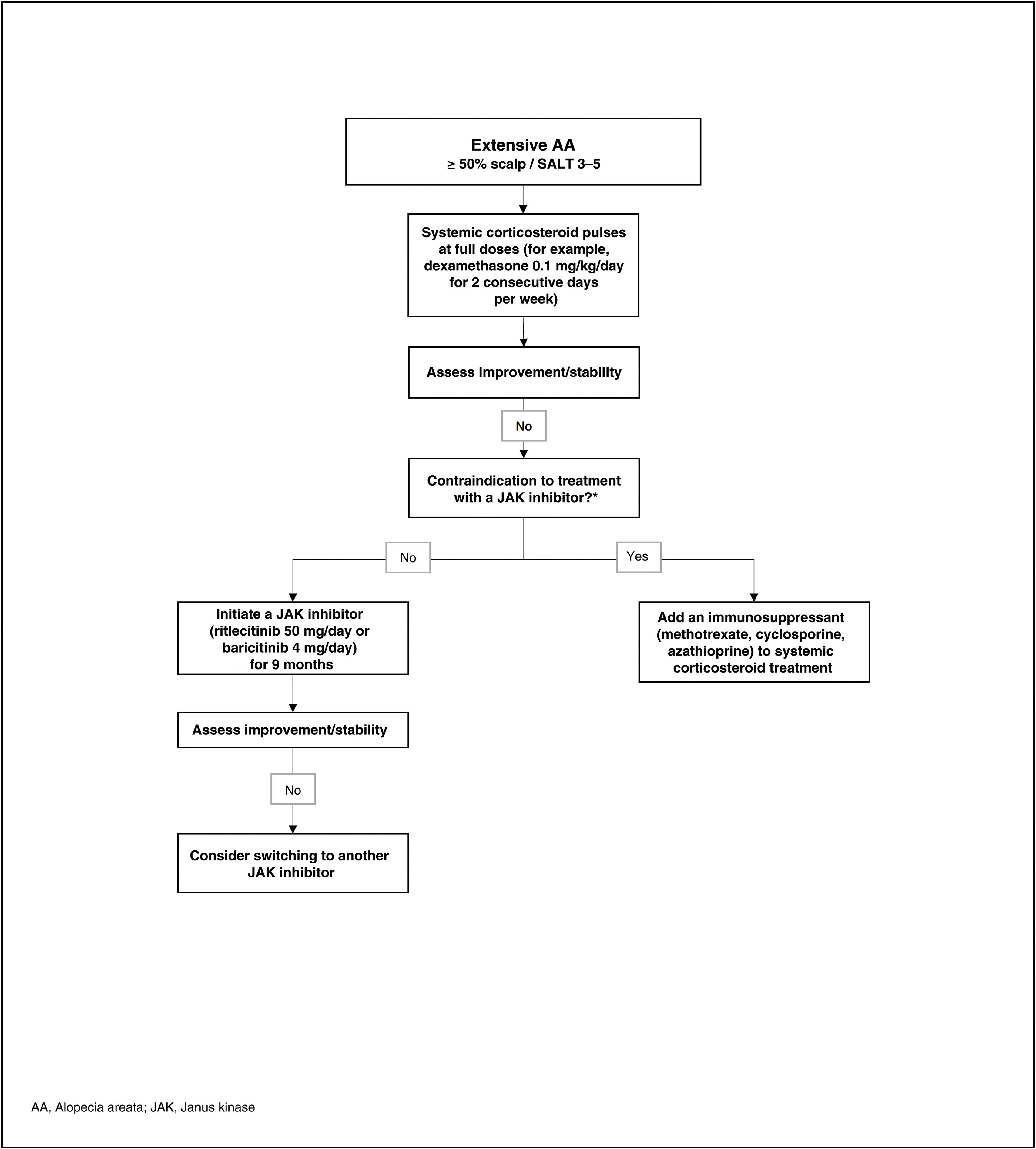
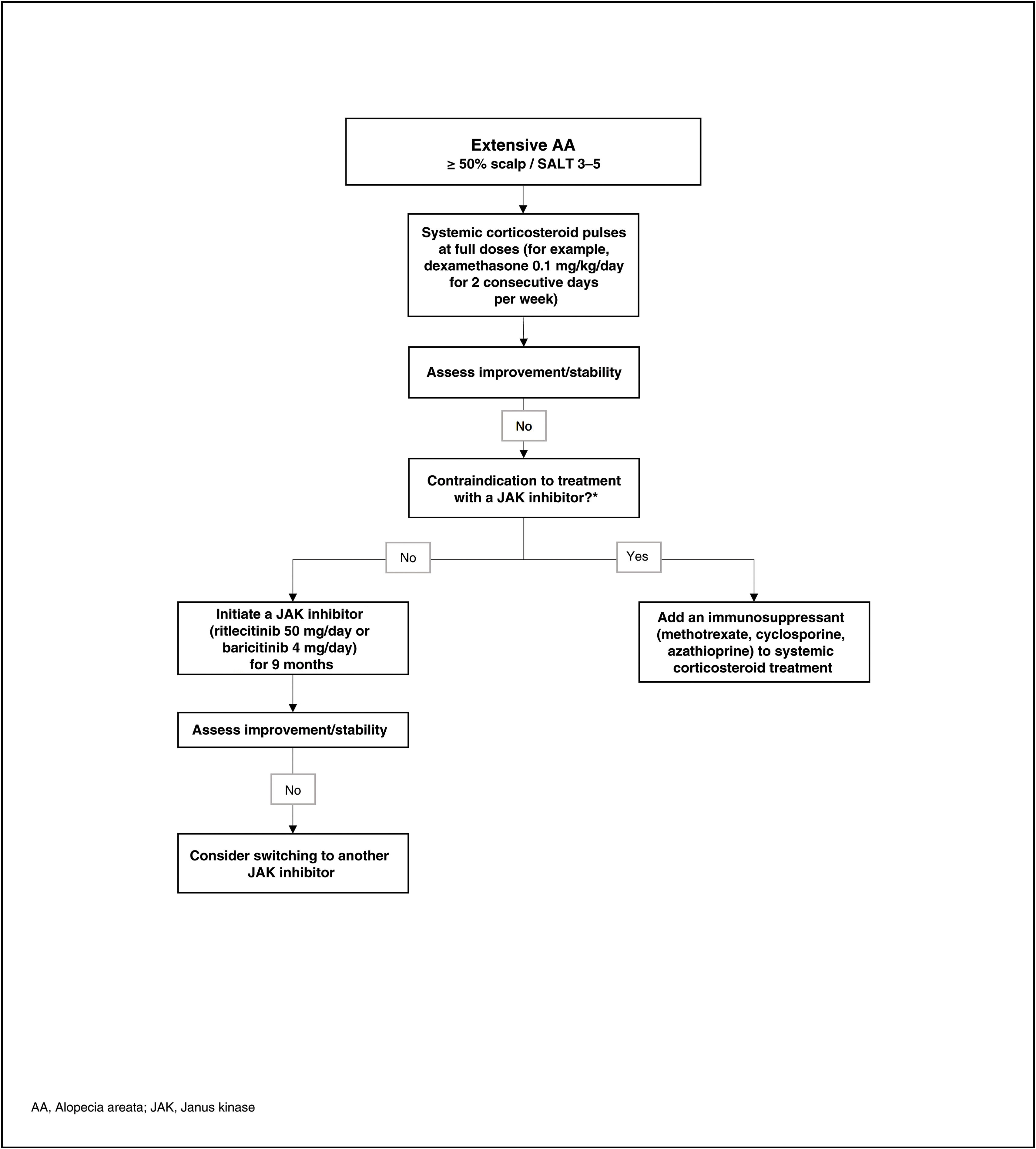
The treatment algorithm for extensive AA, defined by the panelists as involvement of ≥50% of the scalp surface (SALT 3–5), is shown in Fig. 3. Although systemic corticosteroids were agreed upon as first-line treatment for extensive AA, the panelists acknowledged that, despite this treatment, most patients with extensive AA experience progression or relapses. In this context, JAK inhibitors were positioned as the treatment of choice in selected patients with extensive AA who wish to receive treatment. However, it was agreed that reimbursement policies for JAK inhibitors in AA influence their indication and use in routine clinical practice. Contraindications for treatment with JAK inhibitors are summarized in Table 4.26,27 Recommendations for initiating treatment with JAK inhibitors are presented in Table 5.
Contraindications for treatment with baricitinib and ritlecitinib.
| Absolute contraindications for baricitinib26 |
| – Hypersensitivity to the active substance or any excipient– PregnancyRelative contraindications for baricitinib– Age ≥65 years– Patients with a past medical history of atherosclerotic cardiovascular disease or other cardiovascular risk factors (e.g., current or former long-term smokers)– Patients with risk factors for malignancy (e.g., current or previous malignancies) |
| Absolute contraindications for ritlecitinib27 |
| – Hypersensitivity to the active substance or any excipient– Active serious infections, including tuberculosis– Severe hepatic failure– Pregnancy and breastfeeding– Absolute lymphocyte count <0.5×103/mm3 or platelet count <100×103/mm3Relative contraindications for ritlecitinib– Chronic or recurrent infection– History of tuberculosis exposure– History of severe or opportunistic infection– Residence or travel in areas where tuberculosis or mycoses are endemic– Underlying conditions predisposing to infection– Known risk factors for thromboembolism– Known malignancy |
Recommendations before starting and during treatment with a JAK inhibitor.
| Recommended tests before starting treatment (GoR 5, LoE D) |
| • Complete blood count• Liver and renal biochemistry• Lipid levels• Serologies: hepatitis B, hepatitis C, and HIV• Screening for latent tuberculosis• Pregnancy test* |
| Vaccination recommendations (GoR 5, LoE D) |
| • Patients should have their vaccination schedule up to date• Varicella-zoster virus vaccination is recommended whenever possible• Live attenuated vaccines should be avoided during treatment or within 4 weeks before starting treatment |
AA, alopecia areata; JAK, Janus kinase; LoE, level of evidence; GoR, grade of recommendation.
Regarding the duration of treatment with JAK inhibitors, it was agreed that treatment should be maintained for nine months to evaluate effectiveness. In cases of therapeutic failure with a JAK inhibitor, switching to another JAK inhibitor should be considered, and off-label treatment with other JAK inhibitors available in our setting may also be considered in patients who do not respond to ritlecitinib and baricitinib. After dose reduction or discontinuation of treatment with JAK inhibitors, relapses are frequent, and in such cases increasing the dose or restarting treatment is justified. Finally, in some patients with extensive AA, the optimal strategy may be to maintain JAK inhibitor therapy as long-term chronic treatment to prevent relapses.
For patients with contraindications to JAK inhibitors, panelists agreed that the combination of systemic corticosteroids and other immunosuppressants such as methotrexate or azathioprine could be considered as an option. Similarly, topical immunotherapy may be considered in patients with extensive AA who do not respond to treatment with JAK inhibitors or who have contraindications to or decline systemic therapy.
Regarding hair transplantation in patients with AA, panelists agreed that it is not recommended as a treatment for AA and that active AA constitutes a contraindication to hair transplantation in patients with concomitant androgenetic alopecia. However, in patients with a history of AA who have remained relapse-free for more than six months, the panelists agreed that there is no absolute contraindication to performing hair transplantation as treatment for their androgenetic alopecia, provided that the patient understands that AA may relapse at any time or may even worsen after the procedure, and that this information is documented in the patient's health record.
Special situationsRecommendations for the treatment of AA in patients with rapidly progressive AA, in pregnant and/or breastfeeding patients, in pediatric and adolescent patients, and in patients aged ≥65 years are summarized in Table 6.
Recommendations on the management of AA in special situations.
| Rapidly progressive AA• Rapidly progressive AA is defined as the presence of a multifocal positive hair-pull test at the first visit, or patients progressing to extensive AA within the first 6 months after the first visit (LoE 5, GoR D).• The use of oral corticosteroids may be considered, always limiting their use to a course of less than six months and informing patients about the risk of relapse after discontinuation. (LoE 5, GoR D).Pregnancy and breastfeeding• In pregnant patients with AA, systemic treatment should be postponed until after delivery (LoE 5, GoR D).• During breastfeeding, if treatment for AA is initiated, local immunotherapy and topical corticosteroids are recommended (LoE 5, GoR D).Pediatric and adolescent patientsPatients <12 years• In pediatric patients <12 years with moderate or severe AA, systemic treatments such as immunosuppressants may be considered in selected cases (LoE 4, GoR C).• In pediatric patients <12 years who experience impaired psychosocial functioning due to severe AA, and always with informed consent from parents or legal guardians, off-label use of a JAK inhibitor in the pediatric population may be considered (LoE 5, GoR D).Patients ≥12 years• In pediatric patients ≥12 years with mild or moderate AA, expectant management, topical or intralesional corticosteroids, or topical immunotherapy are recommended (LoE 5, GoR D).• In pediatric patients ≥12 years with severe AA who wish to receive systemic treatment, initiation of treatment with JAK inhibitors may be considered, always with parental or legal guardian consent and after weighing the risk of potentially serious adverse effects against the psychosocial impact of AA (LoE 1, GoR A).• In pediatric patients with severe AA who do not respond to treatment with ritlecitinib, off-label treatment with baricitinib may be considered (LoE 5, GoR D).• In pediatric patients ≥12 years with severe AA who do not wish to undergo systemic treatment, topical immunotherapy may be offered (LoE 4, GoR B). |
AA, alopecia areata; LoE, level of evidence; GoR, grade of recommendation.
This document reflects the consensus of a national panel of experts on the diagnosis and management of AA, based on the available scientific evidence. Our results highlight the importance of physician–patient communication in the management of patients with AA, as realistic expectations regarding prognosis and treatment are essential for satisfactory management.28 Similarly, physicians should assess the degree of psychosocial impact associated with AA29–31 and individualize treatment according to a variety of factors. This observation underscores the limitations of the most widely used tool in our setting for assessing AA severity, the SALT scale, which does not include aspects such as nail involvement, loss of facial and body hair, or the patient's psychological status.32 In this regard, new staging tools with a more holistic approach have recently been developed, including the Alopecia Areata Scale (AAS) and the Alopecia Areata Severity and Morbidity Index (ASAMI).32–35
Regarding the treatment of mild AA, it is important to emphasize the need for periodic reassessment of the patient after diagnosis, since the therapeutic approach depends on the evolution of symptoms. Concerning intralesional corticosteroid therapy, this consensus positions triamcinolone acetonide as first-line treatment for mild AA, recommending lower doses than those used for the scalp when treating the eyebrows and beard, thereby minimizing potential adverse effects such as cutaneous atrophy.36-38 However, consensus was not achieved regarding the specific administration regimen of intralesional corticosteroids, highlighting the need for further studies in this area. Similarly, no consensus was reached on the role of topical minoxidil in AA, despite its frequent use in routine clinical practice.
The development of Janus kinase (JAK) inhibitors has represented a major milestone in the treatment of extensive AA. According to the expert consensus, in some situations off-label treatment with JAK inhibitors should be considered, given their efficacy and safety profile.39–42 Furthermore, although there is insufficient evidence to position the different JAK inhibitors relative to one another, in cases of failure of one JAK inhibitor it may be appropriate to switch to another drug from the same class – even considering off-label treatment with other JAK inhibitors available in our setting – because their mechanisms of action differ slightly and may lead to different clinical responses.43–45
Regarding the management of AA in pediatric patients, screening for anxiety and/or depression potentially related to school bullying is particularly important,42 again emphasizing the importance of effective communication.28 Finally, none of the proposals supporting less aggressive treatment in patients older than 65 years reached consensus, suggesting that age alone is not the most important factor when designing the therapeutic strategy.
ConclusionsThe treatment of AA has changed considerably in recent years due to new therapies such as JAK inhibitors. This national consensus document aims to serve as a useful tool to guide health care professionals in the management of patients with AA.
Conflicts of interestDavid Saceda-Corralo has received honoraria for participating in advisory board meetings for Pfizer and as a speaker for Pfizer, Lilly, L’Oréal, and Cantabria Labs.
Sergio Vañó-Galván has received honoraria for participating in advisory board meetings for Pfizer, Lilly, and Cantabria Labs, and as a speaker for Pfizer, Lilly, L’Oréal, Pierre Fabre, and Cantabria Labs.
S. Arias-Santiago, A. Barrutia, A. Combalia, J. del Boz, G. Garnacho, and A. Lobato declared no conflicts of interest whatsoever.
Financial supportThis is a project financed by a Pfizer Independent Grant (QI ID: 90356657). Pfizer was not involved in the design, statistical analysis, and writing of the manuscript.
The authors thank Dr. Bernadette Pfang and Dr. Pablo Rivas on behalf of Content Ed Net for their assistance in the preparation of this manuscript.
Blanca Ferrer Guillén; Paola Maldonado Cid; Ramón Grimalt Santacana; Francisco Miguel Camacho Martínez; Juan Jiménez Cauhé; Aniza Giacaman Contreras; Ángela Hermosa Gelbard; Cristina Pindado Ortega; Pablo Fernández-Crehuet Serrano; David Vega Díez; Alba Gómez Zubiaur; Rocío Gil Redondo; Víctor Cabezas Calderón; Daniel Ortega Quijano; Pablo Fonda Pascual; José María Mir Bonafé; Marta Rubio Lombraña; Óscar Muñoz Moreno-Arrones; María Librada Porriño Bustamante; María Antonia Fernández Pugnaire; Virginias Velasco Tamariz; Ángel Aguado García; and Maribel Iglesias Sancho.








